全国爱牙日丨减糖控体重,护牙促健康
2025.09.19 | 星光首创
你知道吗?口腔问题可能引发心血管疾病、糖尿病等全身性健康危机!2025年9月20日是第37个“全国爱牙日”。宣传主题是“口腔健康 全身健康”,副主题是“减糖控体重 护牙促健康”。旨在通过爱牙日活动,进一步增强口腔健康是全身健康重要组成部分的认知,加大口腔防治知识的宣传教育,普及口腔保健知识,推动形成“主动护牙、科学控糖”的健康生活方式,切实助力全民口腔健康与全身健康水平的提升。

图源:中华口腔医学会官网
一、我国口腔健康现状
口腔不仅是消化系统的起点,更是人体健康的重要指标。世界卫生组织已将口腔健康列为人体健康的十大标准之一。然而,我国口腔健康状况仍不容乐观:超过90%的成年人有不同程度的口腔问题,儿童龋齿发病率高达70%以上。
二、您知道龋齿吗?
张开嘴照照镜子,有注意到牙齿上的小黑点吗?它很可能是蛀牙的早期信号——人们常说的“虫牙”中的“虫”即口腔中的细菌,细菌是龋病的罪魁祸首。我们的口腔中存在着各种各样的细菌,有些细菌会黏附在牙齿表面,形成菌斑,当食物嵌塞在牙缝或牙齿的窝沟中时,口腔中的细菌就会将食物中的糖分解、发酵,产生酸性物质,这些酸性物质就开始腐蚀我们的牙齿。如果长期未引起重视,循环反复,则会发展为缺损,形成龋洞。
食物致龋细菌尤其喜欢糖类,它们通过代谢糖类产生酸,使口腔唾液及牙面菌斑的pH值下降,导致牙釉质脱矿形成龋。口腔内细菌代谢的糖类中最主要的是蔗糖,蔗糖很容易残留在牙齿表面。这也是为什么大多数宝宝患龋概率较大的原因。糖果是宝宝群体偏爱的甜食之一,家长们稍不注意宝宝的口腔健康,未被及时清理的残留糖分就容易留在牙齿上给细菌们留下可乘之机。

图源:中华口腔医学会官网
三、赤藓糖醇,科学抗龋的新选择!
医学试验研究发现,糖醇具有改善人类牙齿健康、不致龋齿的功能性,但提起这类具有功能性的糖醇,人们往往想到的是山梨醇或木糖醇。然而,越来越多的学术研究发现,赤藓糖醇同样可以作为一种有效的改善牙齿健康的代糖或糖醇,并且其相关特性优于山梨醇和木糖醇。
赤藓糖醇(Erythritol),这一源自自然界的甜蜜分子,最初发现于多种水果和蔬菜中,如梨、西瓜等。作为一种四碳糖醇,它以其独特的化学结构和生理功能,在健康代糖领域脱颖而出。不同于传统蔗糖,赤藓糖醇的分子结构使其具有极高的稳定性和耐受性,能够在各种食品加工条件下保持其甜味和物理性质[1]。

图源:文献[2]
关于抑制牙菌斑形成和细菌生长方面,Ghezelbash[3]等研究了木糖醇和赤藓糖醇对链球菌菌株以及链球菌生物膜形成的抑制作用,结果发现赤藓糖醇在抑制此研究中使用的链球菌菌株的生长和生物膜形成方面比木糖醇更有效。
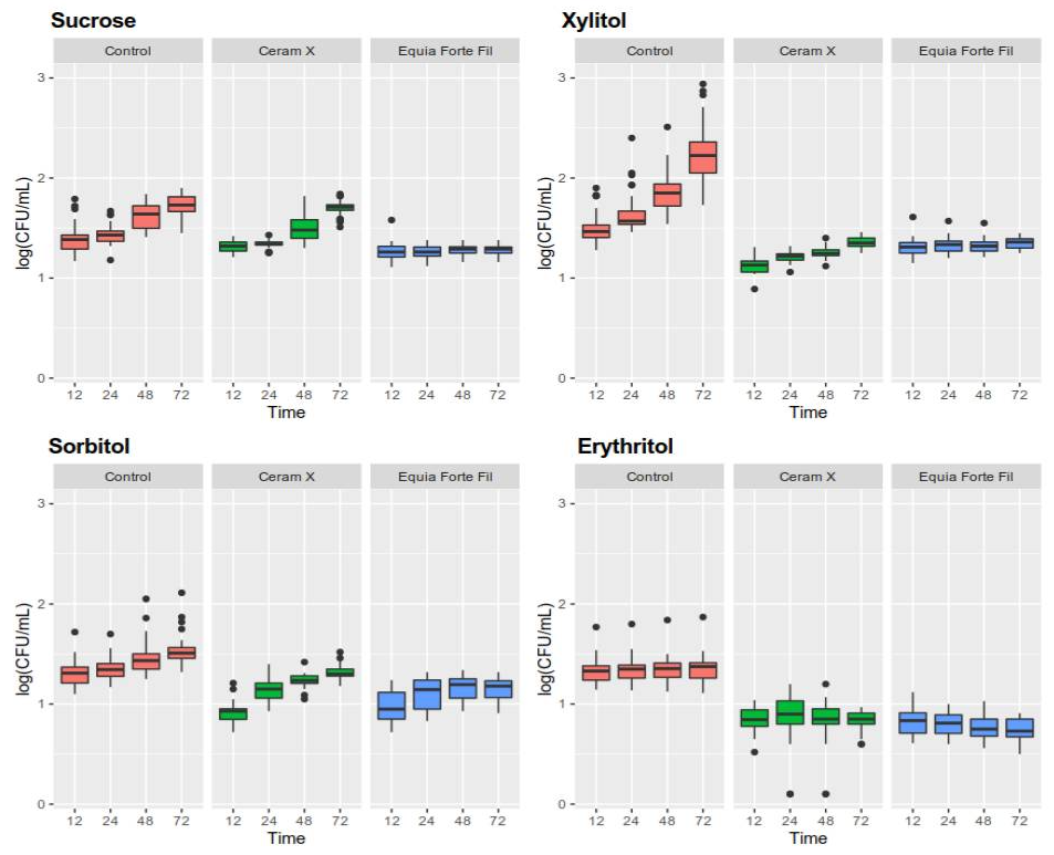
此外,赤藓糖醇被证明可以抑制从儿科牙菌斑患者分离出的致龋链球菌的生长以及牙菌斑的形成,这可能是由于赤藓糖醇可以被动地穿透细菌的细胞膜从而干扰其生长。如图所示,赤藓糖醇抑制活微生物生长的效果最强。在12到72小时之间,蔗糖的增加量为0.32 log CFU/mL,而赤藓糖醇的活微生物生长量仅增加了0.03 log CFU/mL[4]。

图源:文献[4]
四、不引起血糖波动,肥胖症和糖尿病患者的福音!
在血糖和胰岛素控制方面,赤藓糖醇的吸收有90%直接通过尿液排出体外所以并不影响血浆中葡萄糖和胰岛素的波动,这使得赤藓糖醇成为适合于糖尿病人食用的甜味剂。据报道,赤藓糖醇的血糖指数和胰岛素指数分别为0、2,所以赤藓糖醇几乎不对血糖有任何影响。因此可用于开发适于肥胖症和糖尿病患者的食品。

注:上图中绿色标记为赤藓糖醇的代谢路径和产物
图源:《食品安全导刊》2014.24期
五、赤藓糖醇在糖果中的应用
目前,糖果产业正向低糖或无糖趋势转变,可更好地满足肥胖、糖尿病等消费者群体对减糖产品的需求,而赤藓糖醇几乎无热量的特性和不致龋齿的特点,已在糖果产品开发中广泛应用。

怡浓金典—赤藓糖醇黑巧克力

徐福记—熊博士无糖棒棒糖
图源:淘宝
六、星光首创
山东星光首创生物科技有限公司是一家专注于功能性食品配料研发、生产和销售的高新技术企业。公司旗下赤藓糖醇产品采用微生物发酵法和特定的结晶工艺制备而成,所生产的赤藓糖醇产品洁白,颗粒均匀,纯度达到99.9%,在应用时不起扬尘,提高了使用便利性,配伍范围广;产品溶解性能好,不会出现沉淀或结块现象,质量优异。

图源:星光首创
此外,可以根据客户需求对产品粒度进行定制化生产,可为客户提供从需求沟通、方案设计到实施交付的一站式服务,致力于为广大消费者提供优质的产品。
商务合作 欢迎致电
「功能配料业务」
姓名:赵战利
联系电话:13355448742(微信同号)

(添加请备注:姓名 公司 职位)
「技术咨询」
姓名:高学秀
联系电话:18865722509(微信同号)
欢迎关注企业微信公众号获取更多资讯↓↓↓

参考文献
[1]中国食品科学技术学会.赤藓糖醇的科学共识[J].中国食品学报,2022,22(12):405-412.DOI:10.16429/j.1009-7848.2022.12.039.
[2]马寅龙,田大芝.赤藓糖醇的功能特性及其饮料开发研究进展[J].饮料工业,2024,27(04):74-79.
[3]GHEZELBASH G R,NAHVI I,RABBANI M. Gholamreza ghezelbash comparative inhibitory effect of xylitol and erythritol on the growth and biofilm formation of oral streptococci[J]. African Journal of Microbiology Research,2012,6(20):4404-8.
[4]STASZCZYK M,JURCZAK A,MAGACZ M,et al. Effect of polyols and selected dental materials on the ability to create a cariogenic biofilm-on children caries-associated streptococcus mutans isolates[J]. International Journal of Environmental Research and Public Health,2020,17(10):3720.
关注星光首创微信
